Capitule 7. Gamma classifier
Mexican classifier applied to the Iris Dataset
As a member of the Alfa-Beta research group, I transformed the theory of Gamma classifier into Python 3.0 code. Gamma is a classifier that has shown to be competitive in classification and prediction task. The primary operators of the Gamma classifier are:
- Gamma hybrid (based on alpha and beta operators)
- Unary
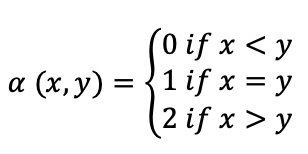
The non-tabular definition of the alpha operator is defined by:

The non-tabular definition of the beta operator is defined by:

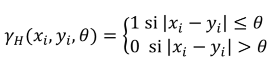
The gamma hybrid operator is defined by:

The unary operator is defined by:

##GAMMA FRAMEWORK V1.0
Read Iris Dataset:
X=Gamma().read_dataset(website='UCI_Machine_Learning_Repository', dataset='iris')
Separate data and labels:
X, y = Gamma().separate_data_and_labels(X)
Comprobate if the dataset has missing values:
Gamma().detect_missing_values(X, y)
Know the total patterns of the dataset:
Gamma().total_patterns(X)
Apply the logarithmic scale (Pre-processing stept for Gamma):
X = Gamma.logarithmic_scale(X, exponent=0)
Feature correlation:
Gamma().feature_correlation(X)
Hold-Out Stratified:
X_train, X_valid, y_train, y_valid = Gamma().hold_out_stratified(X, y, train_size=0.7, test_size=0.3)
Get patterns by class:
test_class_1, test_class_2, test_class_3 = Gamma().get_patterns_by_class(y_valid, X_valid)
Get the number of patterns by class:
class1_n, class2_n, class3_n = Gamma().get_number_of_patterns_by_class(y_train)
Prepare data:
train_patterns, X_test, number_of_patterns = Gamma().prepare_data(class1_n, patterns_c1, class2_n, patterns_c2,class3_n, patterns_c3, X_valid, y_valid)
data = {'X_test':X_test,'train_patterns':train_patterns, 'number_of_patterns':number_of_patterns, 'theta':5}
Classification:
acc, preds = Gamma().predict(**data)
Confusion Matrix:
Gamma().plot_confusion_matrix(preds, y_valid, names)
Mean absolute error (mae):
Gamma().mean_absolute_error(preds, y_valid)
References:
- [1]I. López-Yáñez, A. J. Argüelles-Cruz, O. Camacho-Nieto, and C. Yáñez-Márquez, “Pollutants Time-Series Prediction using the Gamma Classifier,” International Journal of Computational Intelligence Systems, vol. 4, no. 4, pp. 680–711, Jun. 2011.
- [2]C. Yáñez-Márquez, I. López-Yáñez, M. Aldape-Pérez, O. Camacho-Nieto, A. J. Argüelles-Cruz, and Y. Villuendas-Rey, “Theoretical Foundations for the Alpha-Beta Associative Memories: 10 Years of Derived Extensions, Models, and Applications,” Neural Processing Letters, vol. 48, no. 2, pp. 811–847, Oct. 2018.
Github project: https://github.com/RickLicona/GammaClassifier
Jupyter Notebook: https://ricardolicona.science/gamma_iris.html
Licence: GNU General Public License v3.0
Feel free to modify the code to your necessities ;).